포항공대, 시스-아지리딘 직합성 성공…친환경 전기화학으로 제약 공정 새 길

폭발 위험이 있는 전구체 없이 전기만으로 의약품 핵심 원료를 직접 만드는 합성 기술이 개발됐다. 복잡한 전구체 설계와 다단계 공정을 거치지 않고 단순 알켄에서 약효를 좌우하는 입체구조까지 정밀 제어한 핵심 중간체를 만들어내면서 제약·정밀화학 공정의 새로운 전환점이 될 수 있다는 평가다.


한국연구재단은 김현우 포항공과대학교 화학과 교수 연구팀이 전기화학적 반응 환경을 활용해 별도의 전구체 설계 없이 말단 알켄으로부터 목표 화합물인 '시스(cis)-아지리딘'을 직접 합성하는 데 성공했다고 8일 밝혔다. 연구 결과는 화학 분야 국제학술지 '앙게반테 케미 인터내셔널 에디션(Angewandte Chemie International Edition)'에 지난달 20일 게재됐다.

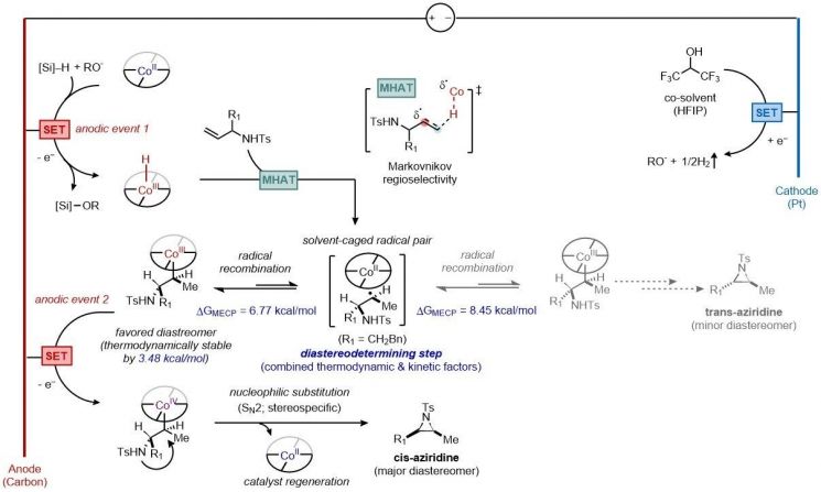
반응 시스템에 대한 도식화. 광자-유도 전기화학 반응 시스템 모식도. 코발트 촉매가 말단 알켄의 반응 경로를 제어해 시스-중간체 형성을 유도하고, 이후 고리화 반응을 거쳐 시스-아지리딘이 선택적으로 합성되는 과정을 나타냈다. 그림 및 설명 : 김현우 포항공대 교수

반응 시스템에 대한 도식화. 광자-유도 전기화학 반응 시스템 모식도. 코발트 촉매가 말단 알켄의 반응 경로를 제어해 시스-중간체 형성을 유도하고, 이후 고리화 반응을 거쳐 시스-아지리딘이 선택적으로 합성되는 과정을 나타냈다. 그림 및 설명 : 김현우 포항공대 교수

AD
원본보기 아이콘

아지리딘은 질소 원자 1개를 포함한 삼각형 고리 구조 화합물로 의약품과 기능성 소재를 만드는 핵심 중간체로 쓰인다. 특히 시스 구조는 분자 내 특정 원자나 작용기가 같은 방향에 위치해 생물학적 활성과 물성이 크게 달라질 수 있어 선택적 합성이 매우 중요하다.

하지만 기존 합성법은 폭발 위험성이 있는 다이아조나 나이트렌 기반 전구체에 의존했고, 생성물의 입체구조 역시 출발 알켄의 형태에 종속돼 원하는 시스 구조를 정밀하게 얻기 어렵다는 한계가 있었다.


전기화학으로 입체선택성 한계 넘었다


연구팀은 코발트 촉매와 전기화학적 산화를 결합해 반응 경로를 정밀 제어하는 새로운 전기촉매 합성 전략을 구현했다. 고리 형성 단계가 반응을 주도하도록 설계해 느린 반응 속도를 극복했고, 효율과 입체선택성을 동시에 확보했다.

연구팀 사진. 왼쪽부터 김현서 석사과정(제2저자), 김현우 교수(교신저자), 최아현 박사과정(제1저자). 한국연구재단 제공

연구팀 사진. 왼쪽부터 김현서 석사과정(제2저자), 김현우 교수(교신저자), 최아현 박사과정(제1저자). 한국연구재단 제공

원본보기 아이콘

특히 밀도범함수이론(DFT) 계산을 통해 시스 생성 경로가 열역학적으로 더 안정하다는 점을 입증했고, 멘톨과 나프록센 등 복잡한 분자 구조에도 아지리딘을 성공적으로 도입하며 높은 범용성을 확인했다. 기존에 접근이 어려웠던 양쪽 모두 알킬 치환기를 가진 기질에서도 높은 시스 선택성을 유지했다는 점에서 의미가 크다.

이번 기술은 강한 화학 산화제 대신 전기를 사용하는 온화한 공정으로 친환경성을 높였고, 단일 단계로 그램(g) 단위 생산까지 가능해 산업적 확장성도 확보했다. 의약화학과 기능성 분자, 고부가 소재 합성 분야에서 폭넓은 활용이 기대된다.

AD

김현우 교수는 "전기화학으로 반응 경로를 정밀 제어해 기존에 불가능했던 입체선택적 합성을 구현한 사례"라며 "유기합성의 반응 경로 설계 방식 자체를 바꾸는 새로운 패러다임으로 확장해 나갈 계획"이라고 말했다.


김종화 기자 justin@asiae.co.kr

<ⓒ투자가를 위한 경제콘텐츠 플랫폼, 아시아경제(www.asiae.co.kr) 무단전재 배포금지>

함께 보면 좋은 기사

새로보기

내 안의 인사이트 깨우기

취향저격 맞춤뉴스

많이 본 뉴스

당신을 위한 추천 콘텐츠

놓칠 수 없는 이슈